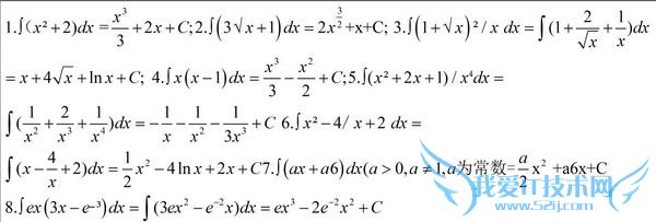
directx8.1a_...dx 7.∫(ax+a6)dx(a>0,a≠1,a为常数 8.∫ex(3x-e...
来源:52ij试题网
作者:佚名 2016-04-20 20:54
其他回答

本文来源于52ij试题网http://shiti.52ij.com/,52ij试题网有小学试题、初中试题及高中试题,初中试卷和高中试卷等,欢迎大家继续阅读学习。如有什么问题或建议请加52ij试题网的QQ群6538112沟通交流。
| 上一篇:静力压桩机_静力压桩机的压桩力与其自重的关系我了解到液压静力... | 下一篇:没有了 |
相关试题及答案
- autumn怎么读_autumn怎么读2016/04/20
- 疯狂猜歌歌手英文_求疯狂猜歌2016/04/20
- 田夫野老_与田有关的50个成语52016/04/20
- 扶摇任务_扶摇直什么?这是什2016/04/20
- 忍刀七人众_卡卡西vs忍刀七人2016/04/20
- 假日垂钓_坦然看生活阅读答案2016/04/20
- rain的真名_...也不是rainism2016/04/20
- 我是真的真的爱你_我爱你、我2016/04/20
- 爱已逝去_爱已逝去 的英文。2016/04/20
- 妖媚的小女人_形容女人妖媚的2016/04/20
- 推箱子13关_蜗牛推箱子(共15关2016/04/20
- 甲子年是哪一年_为何公元4年是2016/04/20
- 牡丹亭游园惊梦_牡丹亭游园惊2016/04/20
- 龙眼与伞阅读答案-阅读《龙眼2015/05/26
- 世界板块图-读“世界板块示意2015/05/25
- 齐安郡晚秋-阅读下面这首唐诗2015/05/25
最热精选试题试题
最新精选试题试题
