首页 - 手机版 - 视频教程 - 收费教程
我爱IT技术网教育平台官网LOGO
  • 语文
  • |
  • 数学
  • |
  • 物理
  • |
  • 化学
  • |
  • 英语
  • |
  • 生物
当前位置: 首页 / 试题 / 初中试题 / 初中生物试题 / 与青草相比,羊特有的结构层次是()A.细胞B.组织C.系统D.器官-生物试

与青草相比,羊特有的结构层次是()A.细胞B.组织C.系统D.器官-生物试

来源:52ij试题网   作者:佚名  2015-04-28 16:45  

  导读:同学你好,你正在阅读的是我爱IT技术网教育培训平台所提供的生物试题,详细的知识点是:人体的外形 部分,以下是详细描述。

  试题描述  

  试题:与青草相比,羊特有的结构层次是()A.细胞B.组织C.系统D.器官-生物试题及答案

  试题描述:

与青草相比,羊特有的结构层次是(  )
A.细胞B.组织C.系统D.器官
魔方格

  试题答案  

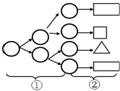
  试题答案: 植物体的结构层次为:细胞→组织→器官→植物体;动物体的结构层次为:细胞→组织→器官→系统→动物体.动物体的结构层次比植物体多了系统这个结构层次.苹果属于植物,人属于动物,所以在结构层次上,二者的区别就是有无系统这个结构层次,苹果无系统这个结构层次.

  考察知识点整理归纳如下:

  试题题型:单选题

  试题来源:不详

  试题难度:中档

  适用学段:初中

  考察重点:人体的外形

  试题分析:

经过对同学们试题原文答题和答案批改分析后,可以看出该题目“与青草相比,羊特有的结构层次是()A.细胞B.组织C.系统D.器官”的主要目的是检查您对于考点“初中人体的外形”相关知识的理解。有关该知识点的概要说明可查看:“初中人体的外形”。

本文来源于52ij试题网http://shiti.52ij.com/,52ij试题网有小学试题、初中试题及高中试题,初中试卷和高中试卷等,欢迎大家继续阅读学习。如有什么问题或建议请加52ij试题网的QQ群6538112沟通交流。

上一页 1 2 下一页

上一篇:动物体的结构层次由小到大依次是()①组织②器官③细胞.A.①→②→③B....[人体的外形 ] 下一篇:下列不属于器官的是()A.血液B.脑C.小肠D.皮肤-生物试题及答案...[人体的外形 ]