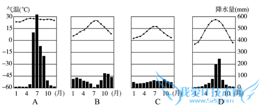
读图,完成下列问题。(1)A图是_________气候,气候特点是________。(2)...[世界主要气候类型 ]
来源:52ij试题网
作者:佚名 2015-04-25 10:18
导读:同学你好,你正在阅读的是我爱IT技术网教育培训平台所提供的地理试题,详细的知识点是:世界主要气候类型 部分,以下是详细描述。
试题描述
试题:读图,完成下列问题。(1)A图是_________气候,气候特点是________。(2)B图是_______气候,此种气候分布在_______,特点是_____________________。(3)C图是____________气候,-地理试题及答案
试题描述:
| 读图,完成下列问题。 |
![]() |
| (1)A图是_________气候,气候特点是________。 |
| (2)B图是_______气候,此种气候分布在_______,特点是_____________________。 |
| (3)C图是____________气候,此种气候面积最大的分布在____________。 |
| (4)具有夏季高温多雨、冬季寒冷干燥气候特征的是_____图(填字母),世界上分布最广的是_____,代表城市是_____________。 |
试题答案
试题答案: (1)热带雨林;全年高温,降水分成旱雨两季,亚洲的南部
考察知识点整理归纳如下:
试题题型:综合读图题
试题来源:山东省同步题
试题难度:中档
适用学段:初中
考察重点:世界主要气候类型
试题分析:
经过对同学们试题原文答题和答案批改分析后,可以看出该题目“读图,完成下列问题。(1)A图是_________气候,气候特点是_______..”的主要目的是检查您对于考点“初中世界主要气候类型”相关知识的理解。有关该知识点的概要说明可查看:“初中世界主要气候类型”。
本文来源于52ij试题网http://shiti.52ij.com/,52ij试题网有小学试题、初中试题及高中试题,初中试卷和高中试卷等,欢迎大家继续阅读学习。如有什么问题或建议请加52ij试题网的QQ群6538112沟通交流。
| 上一篇:读“气温曲线和降水量柱状图”,完成下列问题1、A地气温比D地气温_____(高...[世界主要气候类型 ] | 下一篇:地中海沿岸的气候特点是[]A.冬季干燥少雨,夏季温和多雨B.冬季温和多雨,...[世界主要气候类型 ] |
相关试题及答案
- 大马士革(33°30′N,36°18′2015/04/25
- 读世界不同地区或国家的地理事2015/04/25
- 读“某地气温曲线与降水量柱状2015/04/25
- 与北美洲相比,下列气候类型中2015/04/25
- 下列气候类型中,除南极洲外,2015/04/25
- 下图是A、B两地各月气温变化曲2015/04/25
- 各种气候类型在地球上的分布是2015/04/25
- 同样是温带,气候类型却不同,2015/04/25
- 下面四种气候类型中,属于地中2015/04/25
- 根据下面表中的气候资料,判断2015/04/25
- 我们荣县的气候类型属于______2015/04/25
- 热带草原气候主要分布在热带雨2015/04/25
- 下列没有热带雨林分布的大洲是2015/04/25
- 读下图,填空(①,②小题填字2015/04/25
- 下面是某地气温与降水柱状图,2015/04/25
- 世界上最大的热带雨林气候区分2015/04/25
最热初中地理试题试题
最新初中地理试题试题

